1)Սեղանի հիմքերը 12 սմ և 6 սմ են, բարձրությունը՝ 7 սմ: Գտեք սեղանի մակերեսը:
S=12+6/2•7=9•7=63սմ²
2)Սեղանի հիմքերը 15 դմ և 5 դմ են, մակերեսը՝ 60 դմ2 : Գտե՛ք սեղանի բարձրությունը:
S=60սմ²
S=5+15/2•h=60
h=60/10=6
3)Սեղանի միջին գիծը 13 սմ է, բարձրությունը`8 սմ: Գտեք սեղանի մակերեսը:
Միջին գիծ=հիմքերի կիսագումար=>S=13•8=104սմ²
4)35 սմ2 մակերեսով սեղանի հիմքերը հարաբերում են ինչպես 2:3: Գտե՛ք եռանկյունների մակերեսները, որոնց տրոհվում է սեղանը իր անկյունագծով:

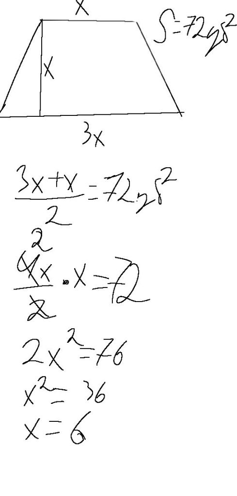
5)Սեղանի բարձրությունը հավասար է փոքր հիմքին և երեք անգամ փոքր է մեծ հիմքից: Գտեք սեղանի մեծ հիմքը, եթե մակերեսը 72 դմ2 է:

6)CK-ն ABCD հավասարասրուն սեղանի C գագաթից AD մեծ հիմքին տարված բարձրությունն է: Գտեք սեղանի մակերեսը, եթե CK = 6 սմ, AK = 9 սմ:

























