1)Մի քառակուսու կողմը k անգամ մեծ է մյուս քառակուսու կողմից: Գտե՛ք այդ քառակուսիների մակերեսների հարաբերությունը:

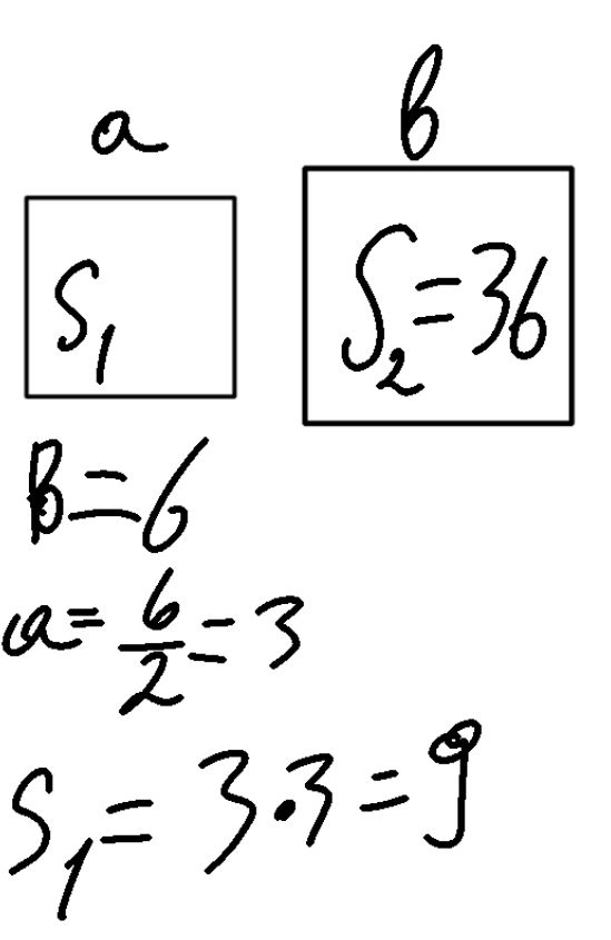
2)Քառակուսաձև սենյակներից մեկի կողմը 2 անգամ փոքր է մյուսի կողմից: Գտե՛ք փոքր սենյակի մակերեսը, եթե մեծի մակերեսը 36 մ է։

3)Խոհանոցի պատը երեսապատված է 15 սմ կողմով քառակուսաձև 120 սալիկով: Քանի՞ ուղղանկյունաձև նոր սալիկ է պետք նույն պատը երեսապատելու համար, եթե նոր սալիկների կից կողմերը 10 սմ և 20 սմ են:
Սալիկ S=15•15=225
Պատի S=225•150=27000 սմ²
10•20=200
27000:200=135
4)Գտե՛ք 54 սմ պարագծով ուղղանկյան մակերեսը, եթե՝
ա) կից կողմերից մեկը մյուսից մեծ է 3 սմ–ով,
բ) կից կողմերը հարաբերում են, ինչպես 4 : 5,
գ) կողմերից մեկը (b + 17) սմ է:


5)ABCD ուղղանկյան A անկյան կիսորդը հատում է CD կողմը նրա միջնակետում։ Գտե՛ք ուղղանկյան մակերեսը, եթե AD = 2,5 սմ: