Posted in Երկրաչափություն 8

Կրկնություն

1)Հավասարասրուն եռանկյան հիմքը 50 է, իսկ սրունքին տարված բարձրությունը՝ 30: Գտնել եռանկյան հիմքին առընթեր անկյան սինուսը, կոսինուսը և տանգենսը։



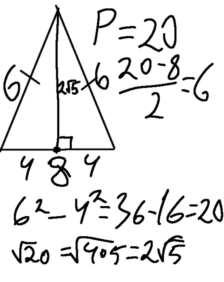
2)Հավասարասրուն եռանկյան պարագիծը 20 է, իսկ հիմքը՝ 8 : Գտնել հիմքին տարված բարձրությունը։



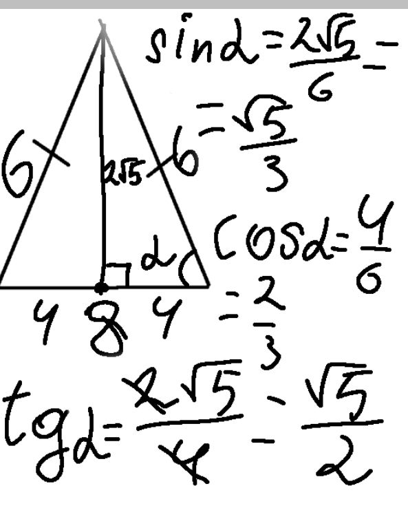
3)Ըստ նախորդ խնդրի տվյալների գտնել հիմքին առընթեր անկյան սինուսը,կոսինուսը և տանգենսը։



4)Ուղղանկյան անկյունագիծը 10 է և մեծ կողմի հետ կազմում է 30O անկյուն։ Գտնել ուղղանկյան կողմերը և մակերեսը։

Posted in Դասեր, Երկրաչափություն 8

Երկրաչափություն

1)Հավասարասրուն եռանկյան հիմքին առընթեր անկյունը հավասար է α, իսկ հիմքը՝ b: Գտեք այդ եռանկյան՝

ա)սրունքը


բ)հիմքին իջեցրած բարձրությունը



2)Զուգահեռագծի փոքր կողմը հավասար է b, իսկ սուր անկյունը՝ α։ Գտեք զուգահեռագծի մեծ հիմքին տարած բարձրությունը։



3)Հավասարասրուն սեղանի հիմքերը հավասար են 2սմ և 6սմ, իսկ մեծ հիմքին առընթեր անկյունը հավասար է α։ Գտեք սեղանի բարձրությունը և սրունքը։



4)Գտեք շեղանկյան անկյունները, եթե նրա անկյունագծերը հավասար են 2√3 սմ և 2 սմ։



5)Ուղղանկյան կողմերը հավասար են 3 սմ և √3 սմ։ Գտեք ուղղանկյան անկյունագծի կազմած անկյունները կողմերի հետ։

Posted in Երկրաչափություն 8

Երկրաչափություն

1)Գտեք C ուղիղ անկյունով ABC եռանկյան A և B անկյունների սինուսը, կոսինուսը և տանգենսը, եթե

ա) BC = 8, AB = 17

sinA=8/17

17²-8²=225

√225=15

cosA=15/17

tg=8/15

sinB=15/17

cosB=8/17

tgB=15/8


բ) BC = 21, AC = 20

AB=20²+21²=400+441=841

AB=√841=29

sinA=21/29

cosA=20/29

tgA=20/21

sinB=20/29

cosB=21/29

thB=21/20


գ) BC = 1, AC = 2

1²+2²=√5

sinA=1/√5

cosA=2/√5

tgA=1/2

sinB=2/√5

cosB=1/√5

tgB=2/1

դ) AC = 24, AB = 25

25²-24²=49

√49=7
sinA=7/25

cosA=24/25

tgA=7/24

sinB=24/25

cosB=7/25

tgB=24/7
2)Ուղղանկյուն եռանկյան ներքնաձիգը c է, իսկ սուր անկյուններից մեկը՝ α: Էջերն արտահայտեք c-ի և α-ի միջոցով:


3)Ուղղանկյուն եռանկյան էջը b է, իսկ դրա դիմացի անկյունը՝ α: Մյուս էջն ու ներքնաձիգը արտահայտեք b-ի և α-ի միջոցով:



4)ABCD զուգահեռագծում AB = 6 սմ, BC = 10 սմ, <A = 60օ : Գտե՛ք զուգահեռագծի մակերեսը:



5)Շեղանկյան անկյունագծերը 6 սմ և 6√3 սմ են: Գտե՛ք շեղանկյան անկյունները:

Posted in Երկրաչափություն 8

Ուղղանկյուն եռանկյան սուր անկյան սինուսը, կոսինուսը և տանգենսը

1)C ուղիղ անկյունով ABC եռանկյունում AB = 16uմ, BC = 6սմ: Գտեք A անկյան սինուսը:


sin=6/16=3/8  (կրճատել 2-ով)


2)C ուղիղ անկյունով ABC եռանկյունում AB = 15 սմ, իսկ A անկյան սինուսը 0,6 է: Գտե՛ք BC-ն:

BC=0.6•15=9


3)C ուղիղ անկյունով ABC եռանկյունում BC-ն 4 անգամ փոքր է AB-ից: Գտեք A անկյան սինուսը:

SinA=x/4x=1/4 (կրճատել x-ով)

4)C ուղիղ անկյունով ABC եռանկյունում AB = 18դմ, AC = 6դմ: Գտեք A անկյան կոսինուսը:

CosA=6/18=1/3  (կրճատել 6-ով)

5)C ուղիղ անկյունով ABC եռանկյունում AB-ն 5 անգամ մեծ է AC-ից: Գտեք A անկյան կոսինուսը:

cosA=x/5x=1/5 (կրճատել x-ով)

6)C ուղիղ անկյունով ABC եռանկյունում AC = 24 սմ, իսկ A անկյան կոսինուսը 0,8 է: Գտեք AB-ն:

AB=24•0.8=19.2


7)C ուղիղ անկյունով ABC եռանկյունում AC = 15սմ , BC = 6սմ: Գտեք A անկյան տանգենսը և կոտանգենսը:

tgA=6/15=2/5 (կրճատել 3-ով)

ctgA=15/6=5/2 (կրճատել 3-ով)


8)C ուղիղ անկյունով ABC եռանկյունում AC = 24 դմ, իսկ A անկյան տանգենսը 0,6 է: Գտեք BC-ն:


BC=0.6•24=14.4


9)C ուղիղ անկյունով ABC եռանկյան BC և AC էջերը հարաբերում են ինչպես 3:5: Գտե՛ք B անկյան տանգենսը և կոտանգենսը:

tgB=3x/5x=3/5

ctgB=5x/3x=5/3

Posted in Դասեր, Երկրաչափություն 8

Երկրաչափություն

1)Հավասարասրուն եռանկյան սրունքը 17 սմ է, իսկ հիմքը՝ 16 սմ: Գտեք հիմքին տարված բարձրությունը:



2)Գտեք`

ա) հավասարակողմ եռանկյան բարձրությունը, եթե նրա կողմը 6 սմ է,



բ) հավասարակողմ եռանկյան կողմը, եթե նրա բարձրությունը 4 սմ է:



3)Քառակուսու անկյունագիծը 20 սմ է: Գտեք նրա կողմը։



4)Գտեք հավասարասրուն եռանկյան սրունքը և մակերեսը, եթե` ա) հիմքը 12 սմ է, իսկ հիմքին տարված բարձրությունը՝ 8 սմ, բ) հիմքը 18 սմ է, իսկ նրա հանդիպակաց անկյունը՝ 120°:



5)Ուղղանկյուն եռանկյան էջերն են a-ն և b-ն: Գտեք ներքնաձիգին տարված բարձրությունը, եթե`

ա) a = 5 b = 12

բ) a = 12 b = 16 :



6)Գտեք շեղանկյան կողմը և մակերեսը, եթե նրա անկյունագծերը 10 սմ և 24 սմ են:

Posted in Երկրաչափություն 8

Պյութագորասի թեորեմը



1)Ուղղանկյուն եռանկյան էջերը 6 սմ և 8 սմ են: Գտեք դրա ներքնաձիգը:

6²+8²=36+64=100սմ²

√100=10

2)Ուղղանկյուն եռանկյան ներքնաձիգը 13 դմ է, էջերից մեկը՝ 5 դմ: Գտե՛ք մյուս էջը։

13²=169

5²=25

169-25=144=> √144=12

3)Տղան տնից դեպի արևելք անցավ 800 մ, հետո շրջվեց դեպի հյուսիս և անցավ 600 մ: Տնից ի՞նչ հեռավորություն վրա էր տղան:

Ներքնաձիք=800²+600²=1000000

√1000000=1000մ=1կմ



4)ABCD ուղղանկյան մեջ գտեք՝

ա)AD-ն, եթե AB=5, AC=13



բ)BC-ն, եթե CD=1,5; AC=2,5



5)Ինչքա՞ն պետք է հեռացնել 17 մ երկարությամբ սանդուղքի ստորին ծայրը շենքի պատից, որ դրա վերևի ծայրը լինի 15 մ բարձրության վրա:

17²-15²=64

√64=8

6)Գտեք ուղղանկյուն եռանկյան ներքնաձիգը՝ ըստ տրված a և b էջերի․

ա)a=6; b=8

6²+8²=36+64=100

√100=10

բ)a=1; b=√3


1²•√3²=1+3=4

√4=2


7)Ուղղանկյուն եռանկյան էջերն են a-ն և b-ն, իսկ ներքնաձիգը՝ c-ն։ Գտեք b-ն, եթե՝

a = 12; c = 13

13²-12²=169-144=25

√25=5

a = 6; c = 2b

(2b)²=4b²

6²=36

4b²=36+b²

3b²=36

b²=12

b=√12

√4•3=2√3

8)ABCD ուղղանկյան մեջ գտեք CD-ն, եթե BD=17, BC=15:

Posted in Երկրաչափություն 8

Խորանարդի և ուղղանկյունանիստի մակերևույթների մակերեսները

1)Արկղն ունի 3,5 դմ կողմով խորանարդի ձև: Որքա՞ն նրբատախտակ է անհրաժեշտ այդ արկղը պատրաստելու համար։

3.5²•6=73.5

2)Ուղղանկյունանիստի ձև ունեցող սենյակի չափսերն են՝ երկարությունը 6 մ, լայնությունը 4 մ, բարձրությունը`3 մ: Գտեք սենյակի՝

ա) հատակի մակերեսը,

4•6=24մ²

բ) պատերի մակերեսը

2•(4•3)=36մ²

2•(6•3)=24մ²

36+24=60մ²

3)3 մ բարձրություն ունեցող սենյակի ուղղանկյունաձև հատակն ունի 5 մ և 4,5 մ չափսեր: Առնվազն քանի փաթեթ պաստառ է հարկավոր այդ սենյակի պատերը լրիվ պաստառապատելու համար, եթե յուրաքանչյուր փաթեթ ունի 9,5 մ2 մակերես (դուռը և պատուհանը անտեսել):

2•(3•5)=30մ²

2•(3•4.5)=27մ²

30+27=57մ²

57/9.5=6

4)20 մ երկարությամբ, 10 մ լայնությամբ և 2 մ բարձրությամբ ուղղանկյունանիստի ձև ունեցող ջրավազանի հատակը և պատերը անհրաժեշտ է սալիկապատել: Սալիկներից յուրաքանչյուրն ունի 2 դմ կողմով քառակուսու ձև: Քանի՞ այդպիսի սալիկ է հարկավոր։

20մ=200դմ

10մ=100դմ

2մ=20դմ

2•(200•20)=8000դմ²

2•(100•20)=4000դմ²

100•200=20000դմ²

8000+4000+20000=32000դմ²

2•2=4

32000:4=8000դմ²

Posted in Երկրաչափություն 8

Խորանարդի և ուղղանկյունանիստի մակերևույթների մակերեսները

1.Հաշվիր խորանարդի լրիվ մակերևույթի մակերեսը, եթե նրա կողը 2,1 սմ է:

2.1•2.1=4.41

S=6•4.41=26.46
2.Գտեք այն խորանարդի նիստի մակերեսը, որի մակերևույթի մակերեսը հավասար է 24սմ²: Կարո՞ղ եք գտնել այդ խորանարդի կողը։

24/6=4

Պատ` 4սմ²


3.Ուղղանկյունանիստի հիմքը a = 6սմ և b = 7սմ կողմերով ուղղանկյուն է, իսկ կողմնային կողը՝ c = 8սմ։ Գտեք այդ ուղղանկյունանիստի`

ա) հիմքի մակերեսը

6•7=42սմ²
բ) կողմնային մակերևույթի մակերեսը

6•8=48սմ²

7•8=56սմ²
գ) լրիվ մակերևույթի մակերեսը․

2•56+2•48=204սմ²
4. Ուղղանկյունանիստի հիմքը 8 սմ կողմով քառակուսի է, իսկ կողմնային մակերևույթի մակերեսը հավասար է 112 սմ2 ։ Գտեք ուղղանկյունանիստի լրիվ մակերևույթի մակերեսը։

8•8=64սմ²

112+64+64=240սմ²
5.Հաշվիր խորանարդի լրիվ մակերևույթի մակերեսը, եթե նրա կողը 3,5 մ է:

6•3.5²=73.5սմ²
6.Գտեք այն խորանարդի նիստի մակերեսը, որի լրիվ մակերևույթի մակերեսը հավասար է 150 դմ2 :Կարո՞ղ եք գտնել այդ խորանարդի կողը։

150/6=25սմ²=>a=5 (5•5)


7. Ուղղանկյունանիստի հիմքը 24 սմ պարագծով քառակուսի է, իսկ կողմնային կողը հավասար է 5,5 սմ։ Գտեք այդ ուղղանկյունանիստի

ա) կողմնային մակերևույթի մակերեսը

5.5•6=33

33•4=132սմ²
բ) լրիվ մակերևույթի մակերեսը

132+2•36=204