1)Եռանկյան կողմերից մեկը 12 սմ է, դրան տարված բարձրությունը՝ 7 սմ: Գտեք եռանկյան մակերեսը:

2)Եռանկյան մակերեսը 108 մմ է, կողմերից մեկը՝ 27 մմ: Գտե՛ք այդ կողմին տարված բարձրությունը:

3)Ուղղանկյուն եռանկյան էջերը 7 մ և 16 մ են: Գտե՛ք եռանկյան մակերեսը:

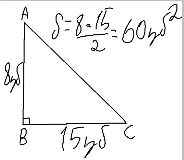
4)ABC եռանկյունում <B = 90օ , AB = 8 դմ, BC = 15 դմ: Գտեք եռանկյան մակերեսը:

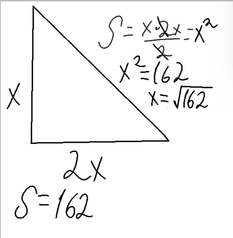
5)Ուղղանկյուն եռանկյան էջերից մեկը երկու անգամ մեծ է մյուսից, մակերեսը 162 սմ է: Գտե՛ք այդ եռանկյան էջերը:

6)Եռանկյան կողմերից մեկը 9 մ է, մյուսը՝ 6 մ: Առաջին կողմին տարված բարձրությունը 4 մ է: Գտեք երկրորդ կողմին տարված բարձրությունը:

7)ABC եռանկյան մեջ <A = 30օ , AB = 14սմ , AC = 6 սմ: Գտեք եռանկյան մակերեսը:

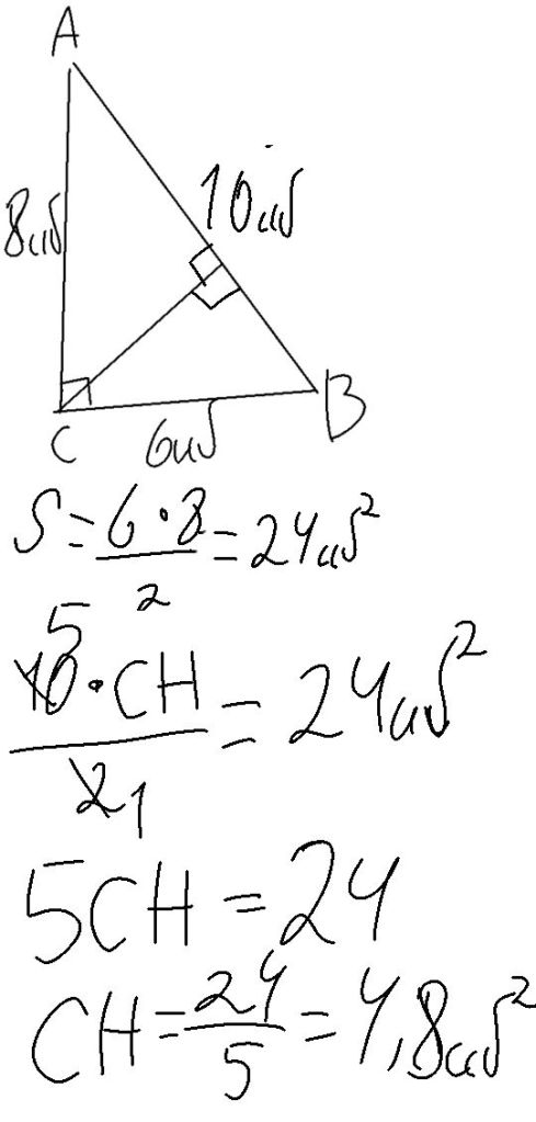
8)Ուղղանկյուն եռանկյան էջերը 6 սմ և 8 սմ են, իսկ ներքնաձիգը՝ 10 սմ: Գտեք ներքնաձիգին տարված բարձրությունը:
