1)Փոփոխականի ո՞ր արժեքի դեպքում արտահայտությունն իմաստ չունի․

ա)x=8
բ)x=3
գ)x=6
դ)x=3
ե)x=2 x=-1
զ)x-4 x=5
է)x=3
ըx=4
2)Գտե՛ք արտահայտության թույլատրելի արժեքների բազմությունը և նշանապահպանման միջակայքերը․

ա) (-oo;-5) – U(-5;-2) – U(-2;oo) +
բ)(-oo;3) + U (3; oo) +
գ)(-օօ;-1)+ (-1;3) + (3;оо) +
դ)(-օօ ;-5/3)+U(-5/3;0)- U(0;oo) +
ե)
զ)
է)
ը)
3)Սոֆին 240 000-դրամանոց հեռուստացույց գնեց։ Նա վճարեց 140 000 դրամ, իսկ մնացած գումարի համար վերցրեց մեկ տարով ապառիկ՝ 18% տարեկան տոկոսադրույքով։ Ընդհանուր որքա՞ն գումար Անին վճարեց հեռուստացույցի համար։
240000-140000=100000
10000*0,18=18000
240000+18000=258000
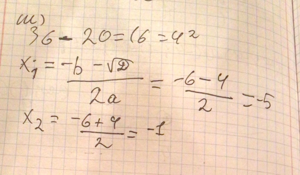
4)Լուծե՛ք քառակուսային հավասարումը.



