1)Գտեք ABCD զուգահեռագծի D գագաթի կոորդինատները, եթե A(0, 0) B(5, 0) C(12,- 3):

2)Գտեք A և B կետերի հեռավորությունը, եթե`
ա) A(2, 7), B(-2, 7),

բ) A(-5, 1), B(-5, -7),

գ) A(-3, 0), B(0, 4),

դ) Α(0, 3), B(-4, 0):

3)Գտեք MNP եռանկյան պարագիծը, եթե M(4, 0), N(12, -2), P(5, -9):

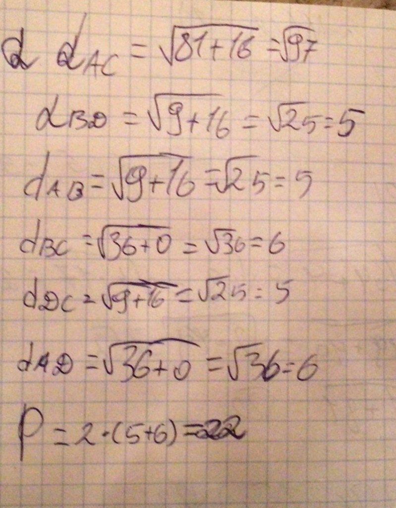
4)Տրված են A(-2;1), B(1; 5), C(7;5), D(4;1) կետերը: Գտեք ABCD քառանկյան անկյունագծերը և պարագիծը:


5)Ապացուցեք, որ A(1; 7), B(-1; — 1), C(-4; 2) գագաթներով ABC եռանկյունը ուղղանկյուն եռանկյուն է: Գտե՛ք այդ եռանկյան ներք– նաձիգին տարված միջնագիծը:

6)Գտե՛ք A(1; — 2), B(3; 5), C(8; 0) գագաթներով ABC հավասարասրուն եռանկյան մակերեսը:
