1)Կոորդինատային առանցքի վրա պատկերեք միջակայքը՝
ա)(-2; 7)
բ)(-17; 34)
գ)(1234; 1398)
դ)(-∞; 0)
ե)(0; +∞)
զ)(-∞; -3)
է)(2; +∞)
ը)(-∞; +∞)
թ)(- 1/3; 0,5)

2)Ինչպիսի՞ նշան (<; =; >) պետք է դնել a և b թվերի միջև, եթե a-b տարբերությունը՝
ա)դրական թիվ է
բ)բացասական թիվ է
a<b
3)Նկարում պատկերված միջակայքերը գրեք անհավասարությունների նշանների օգնությամբ։

(1;+OO)
(-OO;0)
(-1;3)
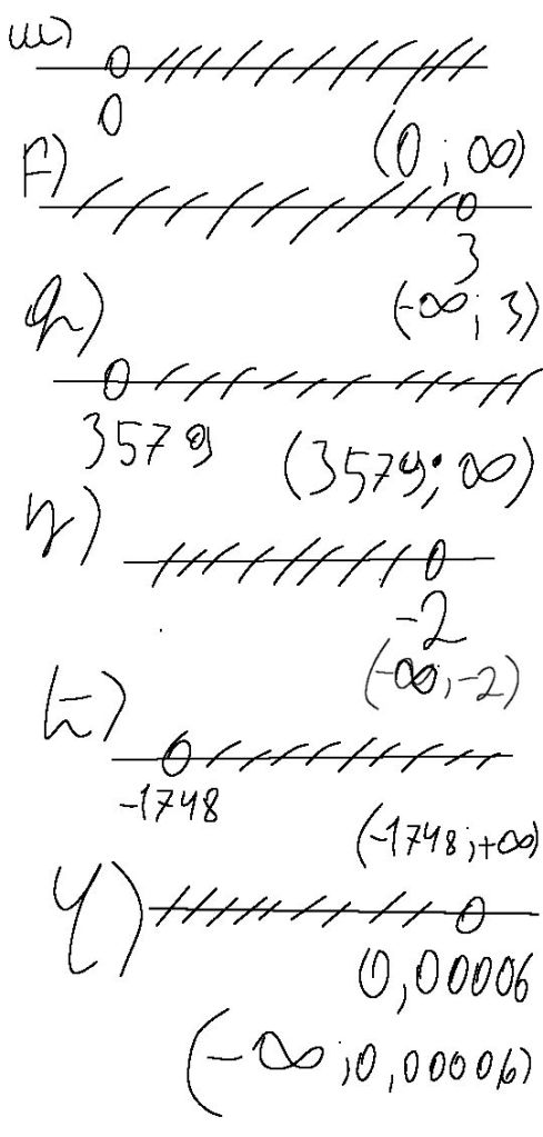
4)Կոորդինատային առանցքի վրա պատկերեք բոլոր այն թվերը, որոնք բավարարում են նշված անհավասարումներին՝
ա)x > 0
բ)x < 3
գ)x > 3579
դ)x < -2
ե)x > -1748
զ)x < 0,00006

5)x — a տարբերությունը համեմատեք զրոյի հետ, եթե
ա)x > a
x-a>0
բ)x < a
X-a<0
6)3 թիվը հանդիսանո՞ւմ է նշված անհավասարման լուծում՝
ա)x > 0 այո
բ)x > -2 այո
գ)x < 3,1 ոչ
դ)-3 < x < 3 ոչ
ե)2,(8) < x < 3,1 այո