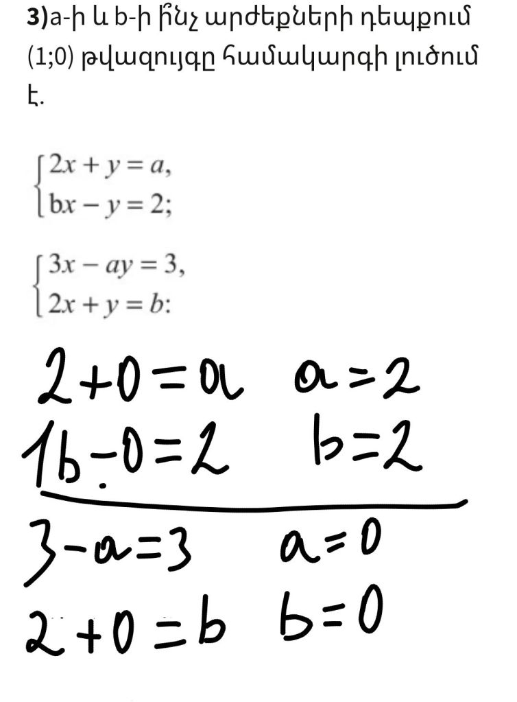
Posted in Հանրահաշիվ 8 Հանրահաշիվ Posted on September 25, 2024 by mariamdalaqyan Share this: Share on X (Opens in new window) X Share on Facebook (Opens in new window) Facebook Like Loading... Author: mariamdalaqyan View All Posts